Viscosity of
water at 40°C lies in the range of
(A)
1×10-3 – 2×10-3
kg/(m.S)
(B)
0.5×10-3 – 1×10-3
kg/(m.S)
(C)
1 – 2 kg/(m.S)
(D)
0.5 – 1 kg/(m.S)
GATE
2004
Answer: (B)
For the
manometer setup shown in the figure, the pressure difference PA – PB
is given by
(A)
(ρH – ρair)gH
(B)
(ρH – ρL)gH
(C)
ρH – ρL)gH + (ρL
- ρair)g(L-H)
(D)
(ρH - ρL)gL + (ρL
- ρair)gH
GATE
2004
Answer: (A)
A conical tank
with a bottom opening of cross sectional area A is filled with water and is
mounted on supports, as shown in the figure. What is the force F with which
plate X must be pushed up to prevent water from leaking? Assume that the
density of air is negligible as compared to the density of water
.
(A)
ρLVg
(B)
ρLAHg
(C)
ρLVg/2
(D)
ρLVg/3
GATE
2004
Answer: (B)
Three
piping networks as shown in the figure are placed horizontally. They are made
using identical pipe segments and are subjected to the same pressure drop
across them. Assuming no pressure losses at junction, the flow rates across the
three networks are related as Q1 : Q2 : Q3
GATE
2004
Answer: (C)
For a particle
settling in water at its terminal settling velocity, which of the following is
true?
(A)
Buoyancy = weight + drag
(B)
weight = Buoyancy + drag
(C)
drag = Buoyancy + weight
(D)
drag = weight
GATE
2004
Answer: (B)
The equivalent
diameter for flow through a rectangular duct of width B and height H is
(A)
HB/2(H+B)
(B)
HB/(H+B)
(C)
2HB/(H+B)
(D)
4HB/(H+B)
GATE
2004
Answer: (C)
What is the
force required (in newtons) to hold a spherical balloon stationary in water a
depth of H from the air-water interface? The balloon is of radius 0.1 m and is
filled with air
(A)
4ᴨg/3
(B)
0.1ᴨgH/4
(C)
0.1ᴨgH/8
(D)
0.04ᴨgH/3
GATE
2004
Answer: (A)
A
lubricant 100 times more viscous than water would have a viscosity (in Pa-s)
(A) 0.01
(B) 0.1
(C) 1
(D) 10
GATE
2003
Answer: (B)
The
velocity profile for a Bingham plastic fluid flowing (under laminar conditions)
in a pipe is
(A) parabolic
(B) flat
(C) flat
near the wall and parabolic in the middle
(D) parabolic
near the wall and flat in the middle
GATE
2003
Answer: (D)
The
variables required to be known in correlations used for estimating the horse
power of a centrifugal gas compressor and hence its cost are
P: inlet
pressure
Q: compressor
RPM
R: delivery
pressure
S: volumetric
flow rate at inlet
(A) P,
Q and R
(B) P
and R
(C) R
and S
(D) P,
R and S
GATE
2003
Answer: (D)
A
fluid element has a velocity V = -y2x i + 2yx2 j. The
motion at
is
(A) rotational
and incompressible
(B) rotational
and compressible
(C) irrotational
and compressible
(D) irrotational
and incompressible
GATE
2003
Answer: (A)
A pipe has a
porous section of length L as shown in the figure. Velocity at the start of
this section is Vo. If fluid leaks into the pipe through the porous
section at a volumetric rate per unit area q (x/L)2, what will be
the axial velocity in the pipe at any x? Assume incompressible one-dimensional
flow i.e., no gradients in the radial direction
GATE
2003
Answer: (D)
A centrifugal
pump is used to pump water through a horizontal distance of 150 m and then
raised to an overhead tank 10 m above. The pipe is smooth with an I.D. of 50
mm. What head (m of water) must the pump generate at its exit (E) to deliver
water at a flow rate of 0.001 m3/s? The Fanning friction factor, f
is 0.0062.
(A) 10
m
(B) 11
m
(C) 12
m
(D) 20
m
GATE
2003
Answer: (B)
Match the following dimensionless
numbers with the appropriate ratio of forces
List I (Dimensionless Number)
P. Froude Number
Q. Reynolds Number
R. Friction factor
S. Nusselt Number
List II (Ratio of forces)
1. Shear force / inertial force
2. Convective heat transfer / conductive
heat transfer
3. Gravitational force / viscous force
4. Inertial force / viscous force
5. Inertial force / gravitational force
Codes
(A) P-1, Q-2, R-5, S-3
(B) P-5, Q-4, R-3, S-2
(C) P-5, Q-4, R-1, S-2
(D) P-3, Q-4, R-5, S-1
GATE
2003
Answer: (C)
Common
statement for the next two questions
A
bed of spherical particles (sp. gravity 2.5) of uniform size 1500 μm is 0.5 m
in diameter and 0.5 m high. In the packed bed state, the porosity may be taken
as 0.4. Ergun’s equation for the above particle-fluid system (in SI units) is
given below
If
water is to be used as the fluidizing medium, the minimum fluidization
velocity, VOM is
(A) 12 mm/s
(B) 16 mm/s
(C) 24 mm/s
(D) 28 mm/s
GATE
2003
Answer: (B)
In
actual operation, the above bed has a height = 1m. What is the porosity of the
fluidized bed?
(A) 0.2
(B) 0.5
(C) 0.7
(D) 0.8
GATE
2003
Answer: (C)
The
pressure differential across a vertical venture meter (shown in Figure) is
measured with the help of a mercury manometer to estimate flow rate of water
flowing through it. The expression for the velocity of water at the throat is
(given:
density of Hg is ρm density of Hg is ρw)
GATE
2003
Answer: (B)
With increasing the flow rate, the hydraulic efficiency of a centrifugal pump
(A)
Monotonically increases
(B)
Decreases and then increases
(C)
Remains constant
(D)
Increases and then decreases
(GATE
2002)
Answer: (B)
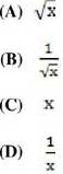
For flow past a
flat plate, if x is the distance along the plate in the direction of flow, then
boundary layer thickness is proportional to
(GATE 2002)
Answer: (A)
For turbulent
flow of an incompressible fluid through a pipe, the flow rate Q is proportional
to (ΔP)n where ΔP is the pressure drop. The value of exponent ‘n’ is
(A)
1
(B)
0
(C)
<1
(D)
>1
(GATE
2002)
Answer: (C)










